Esercizi equazioni secondo grado ad un’incognita

Qui di seguito una serie di esercizi sulle equazioni di secondo grado ad un’incognita. Gli esercizi sono stati divisi in base alla difficoltà (bassa, media alta) e contengono prodotti notevoli, frazioni, radicali e potenze), con soluzioni finali.
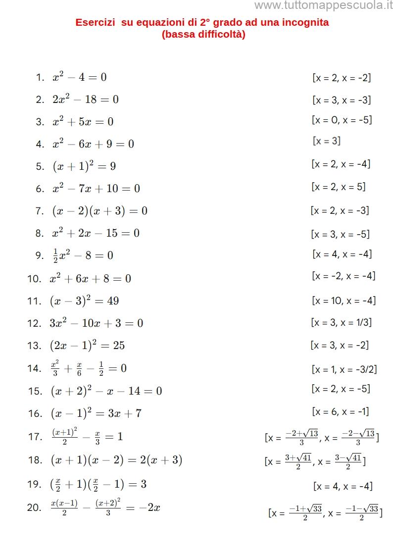
Qui accanto solo un’immagine esplicativa. Potete scaricare gratuitamente il file in formato PDF degli esercizi.
Per la teoria potete dare uno sguardo all’articolo sulle equazioni di secondo grado ad un’incognita cliccando QUI.
Le equazioni di secondo grado ad un’incognita sono uno degli argomenti fondamentali dell’algebra, onnipresenti in matematica, fisica, ingegneria ed economia. Si presentano nella forma generale , dove , , e sono coefficienti numerici, con . La variabile è l’incognita di cui dobbiamo trovare il valore, o i valori, che rendono vera l’uguaglianza.
La chiave per risolvere queste equazioni è il discriminante, indicato con la lettera greca delta (), calcolato come . Il suo valore ci indica la natura delle soluzioni:
-
Se , l’equazione ha due soluzioni reali e distinte.
-
Se , l’equazione ha due soluzioni reali e coincidenti (o una soluzione doppia).
-
Se , l’equazione non ha soluzioni reali, ma due soluzioni complesse coniugate.
Le soluzioni si trovano applicando la formula risolutiva: . Questa formula è il tuo strumento principale per svelare i valori di . Comprendere e saper applicare le equazioni di secondo grado è essenziale, poiché aprono la porta a numerosi problemi e concetti avanzati.


